Since 1959

2026.03.19 (목)
2026.03.19 (목)
[연재 기고] 디스플레이 수명 늘리는 차세대 발광 기술, TADF의 모든 것
2026-01-12  글/ 고려대학교 주병권 교수님 연구실

TADF OLED 수명 연장에 관한 연구


유기 발광 다이오드(OLED)는 다양한 디스플레이 분야에서 핵심 기술로 자리 잡고 있으며, 금속 인광체를 대체할 차세대 발광 기술로 특히 열활성화 지연 형광(Thermally Activated Delayed Fluorescence, TADF) OLED가 주목받고 있다. 그러나 높은 효율에도 불구하고 수명 문제는 상용화를 위한 주요 과제로 남아 있다. 이 글에서는 TADF의 발광 매커니즘과 열화 원인을 살펴보고, 소재 및 소자 구조 관점에서 수명 개선 방법을 정리하고자 한다.



참고사진: LG전자가 CES 2026에서 선보인 9mm대 무선 월페이퍼 TV 'LG 올레드 에보 W6'



글/ 고려대학교 주병권 교수님 연구실


임혜정 (고려대학교 전기전자공학과 석박사통합 과정)

유영재 (고려대학교 전기전자공학과 학사 과정)

조민호 (고려대학교 전기전자공학과 학사 과정)



목차


1. 서론

2. TADF

? 2-1. TADF 발광 원리

? 2-2. 열화 메커니즘

3. 수명

? 3-1. 소재 기반 해결 방법

3-1-1. △EST 제어를 통한 RISC 활성화

3-1-2. HOST-Dopant 시스템 최적화

? 3-2. 구조적 접근

3-2-1. 주름 구조(corrugation)방식

3-2-2. 격자 구조(grating) 방식

? 3-3. 봉지(Encapsulation) 기술

3-3-1. 다층 박막 방식

4. 결론

5. 참고 문헌



1. 서론


최근 디스플레이 기술의 발전과 함께 OLED는 우수한 색재현성과 고명암비를 바탕으로 다양한 디스플레이 분야에서 핵심 기술로 자리 잡고 있다. 특히 TADF는 삼중항(triplet) 여기자를 활용해 내부 양자 효율(IQE)을 이론적으로 100%까지 달성할 수 있는 고효율·무금속 발광 기술로 주목받고 있다.?

그러나 TADF OLED는 높은 효율에도 불구하고, 높은 삼중항 밀도와 반복적인 RISC 과정으로 인한 화학적·계면 열화로 인해 수명 측면에서 상용화에 한계를 보이고 있다. 이에 따라 발광 매커니즘과 열화 원인을 이해하고, 소재 설계와 소자 구조, encapsulation 기술 등을 통해 수명을 개선하려는 다양한 연구가 진행되고 있다. 이 글에서는 TADF OLED의 수명 열화 매커니즘과 이를 개선하기 위한 기술 동향을 살펴보고자 한다.


2. Thermally Activated Delayed Fluorescence (TADF)


2-1. 발광 원리


OLED는 전자와 정공의 재결합에 의해 형성되는 여기자(exciton)를 통해 빛을 방출한다. 이때 여기자는 파울리 베타 원리에 따라 네 가지 상태로 나뉘는데, 자기 스핀 방향이 반대이며 스핀 양자수의 합이 0인 한 가지 상태인 단일항(Singlet, S1)과, 같은 방향의 스핀을 가지며 총 스핀 양자수가 1인 세 가지 상태의 삼중항(Triplet, T1)으로 구분된다. 자연 상태에서는 단일항과 삼중항의 생성 비율이 통계적으로 1:3으로 주어진다. 단일항 여기자는 결합 속도가 나노초 수준으로 매우 빨라 형광(Fluorescence)에 해당하는 반면 삼중항 여기자는 재결합 속도가 매우 느려 인광(phosphorescence)에 해당한다. 일반적인 OLED에서는 단일항만이 발광에 기여하며, 삼중항은 비복사적 경로를 통해 소멸되기 때문에 내부 양자 효율(IEQ)은 이론적으로 최대 25%에 불과하다. TADF의 전형적인 발광 구조와 여기자 전이 경로는 그림 1과 같이 표현할 수 있다.



그림 1. TADF에서 단일항과 삼중항 상태 간의 전이를 통한 지연 형광 발광 메커니즘(RISC)을 나타낸 도식[1]



TADF는 이러한 한계를 극복하기 위한 기술로, 열에너지를 이용하여 삼중항(T₁) 상태에서 단일항(S₁) 상태로 여기자를 전이시킴으로써 발광에 기여시킨다. 이를 가능하게 하려면 단일항 준위와 삼중항 준위의 차이 △EST를 약 1eV 이하로 작게 유지해야 한다. 그렇게 되면 실온에서의 열에너지(kT≒25meV)로도 삼중항이 단일항으로 전이할 수 있으며, 이 전이 과정을 역전분계간 전이(RISC, Reverse Intersystem Crossing)라고 한다. TADF 분자 설계는 이 RISC가 원활하게 일어날 수 있도록 유도하는 것이 핵심이다.

TADF 분자는 일반적으로 Donor-Acceptor(D?A) 구조를 통해 HOMO(Highest Occupied Molecular Orbital)와 LUMO(Lowest Unoccupied Molecular Orbital)를 공간적으로 분리하여 전자 받개인 Acceptor 쪽에 위치하도록 분자 내 전자 밀도를 공간적으로 분리하여 △EST를 감소시키도록 설계된다. 이를 통해 삼중항 여기자까지 발광에 활용할 수 있어, 내부 양자 효율을 이론적으로 최대 100%까지 향상시킬 수 있으며, 특히 귀금속 인광체를 대체할 수 있는 고효율 발광 소재로 주목받고 있다.


2-2. 열화 메커니즘


TADF OLED는 기존 형광 및 인광 OLED에 비해 내부 양자 효율이 최대 100%에 이를 수 있는 기술적 장점을 지니고 있음에도 불구하고, 수명(stability)의 측면에서는 여전히 해결해야 할 과제를 안고 있다. 특히 TADF 발광층은 높은 여기자 밀도와 활성화된 전하의 존재로 인해 다양한 열화 경로에 노출되며, 이로 인해 광출력 저하, 발광 스펙트럼 변화, 작동 전압 증가 등 소자 성능 저하 현상이 가속화된다. 주요 열화 메커니즘은 다음과 같은 네 가지로 정리될 수 있다.


첫째, 삼중항 기반 비복사적 소멸 현상, 즉 Triplet-Triplet Annihilation (TTA) 및 Triplet-Polaron Quenching (TPQ) 현상이 있다. TADF는 삼중항 여기자를 적극적으로 활용하기 때문에, 소자 내부에 고농도의 삼중항이 존재하게 된다. 이 삼중항들은 서로 충돌하거나, 전자 또는 정공과 상호작용하면서 비복사적으로 에너지를 소멸시키고, 이 과정에서 분자의 화학적 결합이 파괴되거나 재배열이 일어나면서 발광 효율이 감소한다. 특히 고전류 구동 조건에서 이 현상은 더욱 두드러지게 나타나며, 이는 수명 단축의 주요 원인 중 하나로 지목된다.

둘째, 산화에 의한 화학적 열화이다. 에너지가 높은 삼중항 여기자는 산소나 수분과 반응하기 쉬우며, 특히 전자 받개(Acceptor) 부위에서 산화 손상이 누적될 경우 전하 이동 및 RISC 과정이 저해되어 TADF 특성이 약화된다.

셋째, 계면 열화(Interface degradation) 현상이다. 다층 구조로 구성된 TADF OLED에서는 장시간 구동 시 계면에서의 전하 축척과 불균형이 발생할 수 있으며, 이는 계면 인근의 발광 효율 저하, 작동 전압 상승 및 소자 열화로 이어진다.


이러한 복합적인 열화 메커니즘은 단일 요인에 의해 발생하는 것이 아니라, 삼중항 여기자의 밀도, 유기 소재의 화학적 안정성, 소자의 구조적 특성 등 다양한 요소들이 상호작용함으로써 나타난다. 따라서 TADF OLED의 수명 향상을 위해서는 소재 분자의 구조적 안정성 확보, 계면에서의 전하 균형 제어, 그리고 구동 조건의 최적화 등 다각적인 접근이 필요하다. 이러한 열화 메커니즘의 분류 및 주요 원인들은 그림 2에 시각적으로 정리되어 있다.



그림 2. 전하 축적, 산화 반응, 계면 불안정성 등 다양한 열화 경로를 포함한 OLED 열화 메커니즘의 시각적 요약 [2]



3. 수명


앞서 살펴본 바와 같이, TADF OLED는 높은 삼중항 여기자 밀도와 반복적인 전하 재결합 과정으로 인해 다양한 열화 메커니즘에 노출되며, 이로 인해 소자 수명이 급격히 저하되는 문제가 발생한다. 이러한 현상은 구동 시간이 길어질수록 더욱 두드러지며, 장기적 안정성 확보에 어려움을 준다.

TADF OLED 기술은 이론적으로 뛰어난 내부 양자 효율을 실현할 수 있는 잠재력을 지니고 있으나, 실제 응용에 있어 수명은 가장 큰 제약 요인으로 작용한다. 고효율만으로는 디스플레이 소자의 실질적 경쟁력을 확보하기 어렵고, 특히 모바일 기기, TV, 조명 등과 같이 연속 동작이 요구되는 환경에서는 성능 저하 없이 안정적으로 작동할 수 있는 수명이 필수적이다.

또한 OLED의 수명은 단순한 동작 시간뿐만 아니라, 휘도 유지, 색상 안정성, 작동 전압 변화 등 다양한 물리적 지표와 밀접하게 연관되며, 실험 및 평가 과정에서도 핵심적인 척도로 작용한다. 따라서 TADF OLED의 실용화를 위해서는 효율과 수명이라는 두 축을 균형 있게 확보해야 하며, 이를 위해 소재 구조, 소자 설계, 공정 기술 전반에 걸친 수명 개선 연구가 필수적으로 병행되어야 한다.


3-1. 소재 기반 수명 연장 방법


TADF OLED의 수명 저하는 대부분 발광층 유기 분자의 내재적 안정성 부족 또는 소자 내 환경 요인에 기인한다. 따라서 이러한 문제를 해결하기 위해서는 발광 재료 자체의 분자 설계 및 조성 최적화가 필요하다. 본 절에서는 수명 향상을 위한 소재 중심의 접근법을 ΔEST 제어, 분자 안정성 강화, host-dopant 시스템 최적화, 고분산 구조 설계 등의 측면에서 살펴본다.


3-1-1. △EST 제어를 통한 RISC 활성화


TADF 발광 특성의 핵심은 단일항과 삼중항 여기 상태 간의 에너지 차이(ΔEST)를 낮추는 것이다. ΔEST가 작을수록 열에너지를 이용한 RISC가 용이하며, 이는 삼중항 여기자를 단일항 상태로 효과적으로 전환시켜 발광에 기여시킨다. 이를 위해 가장 일반적인 분자 설계 방식은 Donor-Acceptor(D?A) 구조의 채택이다. Donor와 Acceptor는 서로 전자 밀도를 공유하지 않도록 비틀린 구조(twisted geometry)를 유지하여 HOMO와 LUMO의 공간적 분리를 유도한다. 이로 인해 오비탈 중첩이 감소하고 ΔEST가 작아져 RISC 전이 확률이 증가하게 된다.

대표적인 Donor로는 carbazole, acridine, phenoxazine 등이 있으며, Acceptor로는 triazine, benzophenone, dibenzothiophene sulfone 등의 전자 친화적인 그룹이 활용된다. 이러한 D-A 조합은 고효율일 뿐만 아니라 수명 면에서도 유리한 특성을 가지며, 청색 발광 구현 시 특히 유리하다.


3-1-2. Host-Dopant 시스템 최적화


TADF emitter는 일반적으로 적정 농도의 도펀트 형태로 발광층에 도입되며, 이때 사용되는 host 재료의 물성은 소자의 수명과 직결된다. Host는 삼중항 에너지가 도펀트보다 충분히 높아 여기자 역전이(exciton back transfer)를 방지할 수 있어야 하며, 전자 및 정공 이동 특성 또한 균형을 이루는 것이 중요하다. 대표적인 host 재료로는 mCBP, DPEPO, PPT 등이 있으며, 이들은 높은 삼중항 에너지를 유지하면서도 전기적 안정성을 확보할 수 있는 장점을 지닌다.

또한 host와 dopant 간의 극성(polarity) 차이를 최소화하면 정전기적 상호작용에 의한 에너지 준위 왜곡을 억제할 수 있어, 발광 효율 향상뿐만 아니라 장기 안정성 확보에도 유리하다. 최근에는 전자와 정공 수송 특성을 모두 갖춘 bipolar host를 활용하여 전하 수송의 균형을 맞추는 전략도 활발히 연구되고 있다.

그림 3은 DBFPO와 DPEPO를 기반으로 한 TADF blue OLED에서 각 유기층 간의 에너지 밴드 정렬을 보여준다.





그림 3. DBFPO 및 DPEPO 기반 host를 활용한 TADF blue OLED에서의 에너지 레벨 정렬 [3]



3-2. 구조적 접근


TADF OLED 기술은 기존의 형광 발광의 가장 큰 약점인 광효율을 획기적으로 향상시키고자 고안된 기술이다. TADF 기술을 거듭하여 연구 개발을 해서 발광 효율을 형광 대비 2-3배 이상으로 늘인다 하여도 만들어진 빛이 최종 기판을 빠져나올 때까지 빛이 유지가 되지 않는다면 빛의 효율, 광 효율은 좋지 않은 것이다. 광 효율이 좋지 않다면 디스플레이 구동에서 있어서도 안 좋다. 무엇보다 OLED의 수명에도 좋지 않은데 수명 측정에서 초기 빛의 세기에서 절반이 되는데 걸리는 시간이 수명 측정에 주요 지표이지만 전류 밀도 등이 광 효율이 좋지 못하면 본래 예측 값보다 안 좋아진다면 전체 디스플레이 성능에도 악영향을 미치기 때문이다.


3-2-1. 주름 구조(corrugation) 방식



그림 4. 주름 구조를 활용할 때 만족해야 하는 브레그 산란 조건 2dsinθ = nλ에 대한 도식화[4]



주름 구조(corrugation)를 사용할 수도 있다. 브레그 산란 조건을 만족하는 구조를 만들면 되는데 브레그 산란 조건은 입사된 빛이 그림에서 점 O와 G에서 산란될 때 보강간섭 조건은 FG, GH의 합이 입사된 빛의 파장의 정수배(n)가 되면 된다. 조건을 수식화하면 2dsinθ=nλ 이 된다. 위 조건을 만족 경우 주름 구조로 입사된 빛은 입사된 파장의 파동 벡터에 주름 구조에 의한 파동 벡터가 벡터합이 되어 광 효율에 영향을 주는 새로운 파동 벡터가 형성된다. 이 경우 주름 주기, 주름 깊이, 주름 경사각, Duty Cycle 등에 따라 새로운 파동 벡터의 광 효율에 영향을 미친다. 주름 주기의 경우는 브레그 산란 조건에 맞는 경우 최대 광효율을 가진다. 주름 주기가 같은 경우에 주름 깊이가 달라지면 광 효율이 달라지는데 주름 구조의 상-하면에서 산란, 반사된 빛이 상쇄 간섭되면 광 효율은 감소한다. Duty Cycle은 주름 주기와 주름 두께와 관련이 있는데 이는 입사된 빛이 주름 구조 상면에서의 산란광과 비 주름 구조에서의 산란광이 간섭해 광 추출 효율에 영향을 준다 볼 수 있다.


3-2-2. 격자 구조(grating) 방식


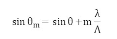
격자 구조(grating)를 이용할 수도 있다. Grating 구조일 때 입사된 빛이 격자 주기에 따라 어떻게 빛이 산란되는지 식으로 표현이 가능하다.






그림 5. 격자 구조 사용 시 입사된 빛의 산란 양상 및 최적 조건일 때 만족하는 관계식[7]

?


θm은 산란된 빛의 출사 각도, θ는 입사된 빛의 입사 각도, λ는 입사된 빛의 파장, Λ는 grating 주기, m은 산란된 빛의 차수로 정수 값이다. 왼쪽 그림은 grating 구조에서 빛의 입사, 반사를 나타낸 것이고 오른쪽 그림은 산란된 빛의 차수에 따른 산란 양상을 나타낸 것이다. grating 구조를 사용해서 기존보다 더 나은 광 추출 효율을 얻기 위해서는 m 값은 0 또는 1이 되어야 한다. 여기에 grating 주기, Duty Cycle, grating 깊이, grating 각도 등이 격자 구조에서 광 추출 효율에 영향을 준다.


3-3. 봉지(Encapsulation) 기술


OLED의 기본 구조적으로 외부 이물질이 디스플레이 내부로 침입하기 쉽다. TADF OLED도 크게 다르지 않다. OLED 내부를 구성하는 내부 물질들이 물과 산소와 반응성이 좋다. 이는 화소 축소(pixel shrinkage)나 암점(dark-spot) 문제들을 야기한다. 화소 축소는 산소나 수분이 OLED 내부로 침투하면서 유기층의 유기물과 반응하여 유기층의 유효 화소 영역을 줄이는 현상을 일컫는다. 암점(dark-spot)은 외부의 산소나 수분이 전극층을 자극하여 특정 영역의 발광 자체가 안되게 하는 현상이다. 이런 현상들은 OLED의 성능을 낮추는 역할을 할 뿐만이 아니라 OLED의 수명도 짧게 한다.

이런 OLED의 기본적 문제를 해결하기 위해서 고안된 방법이 바로 encapsulation 기술이다. 먼저 언급했던 OLED의 문제점은 외부와의 접촉에 의해서 발생하는 문제들이었다. 그렇기 때문에 외부와의 접촉을 막는 방어막 역할을 하는 장치가 존재하면 이런 문제들을 해결할 수 있지 않을까 해서 사용되기 시작한 기술이다. 여기서 외부 물질 접촉 차단은 OLED 재료 특성 상 수분과 산소와 반응성이 높아 수분과 산소를 막아주는 역할을 encapsulation가 해주어야 한다. 수분 투과율(WVTR) 값은 10-6g/m2·day, 산소 투과율(OTR)은 10-5cm3(STP)/m2·day 이하가 되게 하면서 수명 연장의 효과를 보여야 한다. 이런 목적을 고려하여 encapsulation 기술들이 고안된다.


3-3-1. 다층 박막 방식


위의 두 가지의 방식은 합착하는 과정이 다르기는 하지만 별도의 encapsulation용 판이 필요하다. 금속이나 유리로 된 encapsulation용 판을 별도로 구성한다는 것은 재료 비용의 증가와 부피의 증가를 불러온다. 이에 encapsulation용 판을 별도로 사용하지 않는 encapsulation 기술을 고안하게 되는데 그것은 다층 박막 encapsulation 방식이다.




그림 6. 다층 박막 방식의 적용 과정과 구조[10]



다층 박막 encapsulation 기술은 OLED 구조에서 음극까지 증착한 후, 무기물과 유기물 층을 위와 양 옆으로 번갈아 증착하는 방식을 말한다. 마치 박막이 겹겹이 쌓여 있다 하여서 박막 기술이라 일컫는다. 여기서 수분과 산소를 막아 수명을 늘리는 주된 역할은 무기물 층이 담당한다. 산소, 수분 침투 차단을 위해선 나노 크기의 핀 홀이 없어야 하고 산소, 수분 투과 차단을 위해선 산소, 수분에 대한 용해도와 확산 계수가 낮아야 한다. 각 상황에 따라 적절한 소재를 선택해 사용한다. 유기물 층도 여러 역할을 한다. 무기물 층의 연속 증착에 따른 응력를 완화하여 표면에 균열이 발생하지 않게 하고 유기물의 리플로우(reflow) 특성을 통해 표면을 평탄하게 하여 후속 공정을 용이하게 한다. 또한 잉크젯 공정에선 오염물을 덮어주는 역할을 하며 패터닝이 가능하고 재료 사용 효율이 좋다. 그리고 플라스틱 기판에선 유연성을 더 극대화해준다. 이런 이유들로 ‘무기층-유기층-무기층’ 형태의 구조로 다층 박막 encapsulation가 구성된다.

무기물 층은 스퍼터링, 플라즈마 화학 기상 증착(Plasma-Enhancement Chemical Vapor Deposition, PECVD), 원자층 증착(Atomic Layer Deposition, ALD) 공법을 이용해 박막을 제작한다. 스퍼터링 기법은 저가-대면적 공정 방법이며 PECVD는 CVD 공법 중에서도 낮은 온도에서 박막을 형성할 수 있고 ALD는 원자층이 순차적으로 증착되면서 막의 질, step converge가 뛰어나다. 다만 공정 시간이 길고 높은 온도에서 공정이 이루어진다는 단점이 있어 상황에 따라 공법을 활용한다. 유기물 층은 잉크젯 프린팅, 급속 기화(Flash Evaporation)을 위시로 여러 공법을 통해 박막을 만든다.


4. 결론


TADF는 형광 방식의 낮은 내부 효율을 개선하기 위해 제안된 방식이지만, OLED 특성상 여전히 산소와 수분 침투로 인한 열화 문제는 존재한다.

이를 해결하기 위해 소재, 구조, encapsulation 측면에서의 수명 연장 방법을 살펴보았다. 사용되는 유기 소재는 열화에 큰 영향을 미치며, 구조적으로도 광효율을 높이는 재료 선택이 중요하다. 또한, 외부 침투를 막기 위한 encapsulation 기술은 OLED의 수명에 직접적인 영향을 준다.

디스플레이 수명은 빛의 밝기를 일정 수준 이상 유지할 수 있는 기간으로 정의되며, 광효율 향상은 수명 연장의 핵심이다. TADF 연구는 이러한 효율성과 수명 문제를 동시에 해결하기 위한 노력의 일환이며, 본 탐구는 OLED 기술의 이해에 도움을 줄 수 있을 것이다.


5. 참고 문헌


[1] M. Y. Wong and E. Zysman-Colman, “Purely organic thermally activated delayed fluorescence materials for organic light-emitting diodes,” Nature Reviews Materials, vol. 2, no. 8, article no. 17052, 2017.

[2] S. Scholz, D. Kondakov, B. Lussem, and K. Leo, “Degradation mechanisms and reactions in organic light-emitting devices,” Chemical Reviews, vol. 115, no. 16, pp. 8449?8503, 2015.

[3] D. H. Kim, J. H. Lee, J. H. Jeong, and S. K. Kwon, “Comparative study of electron-transport-type hosts in blue thermally activated delayed fluorescence organic light-emitting diodes,” Advanced Functional Materials, vol. 29, no. 36, article no. 1903282, 2019.

[4] M. K. Etherington, J. Gibson, H. F. Higginbotham, T. J. Penfold, and A. P. Monkman, “Revealing the spin?vibronic coupling mechanism of thermally activated delayed fluorescence,” Nature Communications, vol. 7, article no. 13680, 2016.

[5] H. Uoyama, K. Goushi, K. Shizu, H. Nomura, and C. Adachi, “Highly efficient organic light-emitting diodes from delayed fluorescence,” Nature, vol. 492, no. 7428, pp. 234?238, 2012.

[6] Q. Zhang, B. Li, S. Huang, H. Nomura, H. Tanaka, and C. Adachi, “Efficient blue organic light-emitting diodes employing thermally activated delayed fluorescence,” Nature Photonics, vol. 8, no. 4, pp. 326?332, 2014.

[7] C. Adachi, “Third-generation organic electroluminescence materials,” Japanese Journal of Applied Physics, vol. 53, no. 6, article no. 060101, 2014.

[8] H. Zheng, Y. Zhu, B. Zhao, Y. Lin, W. Lan, and S.-B. Wei, “Temperature endurable face-sealing polyisobutylene film with contactable liquid desiccant for the encapsulation of OLEDs,” Materials Today Communications, vol. 41, article no. 110345, 2024.

[9] C.-H. Lee, K. S. Yoo, D. Kim, J.-M. Kim, and J.-S. Park, “Advanced atmospheric-pressure spatial atomic layer deposition for OLED encapsulation: Controlling growth dynamics for superior film performance,” Chemical Engineering Journal, vol. 503, article no. 158424, 2025.

[10] Y. Weng, G. Chen, X. Zhou, Y. Zhang, Q. Yan, and T. Guo, “Design and fabrication of PDMS/Al₂O₃ hybrid flexible thin films for OLED encapsulation applications,” ACS Applied Polymer Materials, vol. 5, no. 12, pp. 10148?10157, 2023.

[11] K. S. Kang, S. Y. Jeong, E. G. Jeong, and K. C. Choi, “Reliable high temperature, high humidity flexible thin film encapsulation using Al₂O₃/MgO nanolaminates for flexible OLEDs,” Nano Research, vol. 13, no. 10, pp. 2716?2725, 2020.

[12] S.-U. Shin and S. O. Ryu, “Optical transmittance improvements of Al₂O₃/TiO₂ multilayer OLED encapsulation films processed by atomic layer deposition,” Journal of Electronic Materials, vol. 50, no. 4, pp. 2220?2227, 2021.

<저작권자(c)스마트앤컴퍼니. 무단전재-재배포금지>

본 기사의 전문은 PDF문서로 제공합니다. (로그인필요)
다운로드한 PDF문서를 웹사이트, 카페, 블로그등을 통해 재배포하는 것을 금합니다. (비상업적 용도 포함)
100자평 쓰기